Диета на 39 неделе беременности
Картинка 2: На какой неделе беременности начинает тошнить
Картинка 3: Эозинофилы повышены - Вопрос гематологу - 03 Онлайн
Картинка 4: 39 неделя беременности: ощущения, вес и развитие плода | Тридцать
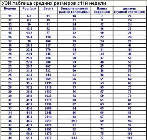
Картинка 5: УЗИ на 39 неделе беременности
Картинка 6: Эозинофилы повышены - Вопрос гематологу - 03 Онлайн
Картинка 7: 39 неделя беременности – признаки родов
Картинка 8: Календарь беременности. 39 неделя беременности | WOMAN
Картинка 9: Почему болит живот на 39 неделе беременности?
Картинка 10: Снижение дозы эниксума после родов - Вопрос гематологу - 03 Онлайн
Картинка 11: Рост Живота При Беременности По Неделям Фото – Telegraph
Картинка 12: Беременность или воздействие таблеток - Вопрос гинекологу - 03 Онлайн
Картинка 13: 8 неделя беременности #P-ONLINE - YouTube
Картинка 14: Потеря Веса На 39 Неделе — Похудение Диета Правильное Питание
Картинка 15: УЗИ на 5 неделе беременности, фото и видео / Что покажет УЗИ на 5-6
Картинка 16: 39 неделя беременности
Картинка 17: 39 неделя беременности: подготовка к родам будущей мамы
Картинка 18: 39 неделя беременности – вторая беременность
Картинка 19: Неприятные спутники беременности: какие бывают, как отличить норму от
Картинка 20: Как происходят роды у женщин фото
Картинка 21: 5 способов ускорить роды на 39 неделе беременности
Картинка 22: 39 неделя беременности: предвестники родов, выделения
Картинка 23: УЗИ на 39 неделе беременности - YouTube
Картинка 24: 39 неделя беременности – что происходит? Предвестники родов у
Картинка 25: Коричневые выделения при беременности: в первом, втором триместре на
Картинка 26: таблица веса плода по неделям беременности | Питание для беременных
Картинка 27: [диета] бессолевая диета беременным
Картинка 28: Календарь беременности. 39 неделя беременности | WOMAN
Картинка 29: Частые тренировочные схватки на 39 неделе когда рожать: 39 неделя
Картинка 30: 35 неделя беременности Все для беременных Мария Супрунюк - YouTube
Картинка 31: 39 неделя беременности: симптомы, ощущения, развитие плода, что происходит
Картинка 32: Беременность по неделям: фото живота на 39 неделе беременности - Телеграф
Картинка 33: Беременность: первые признаки беременности в первые дни
Картинка 34: Определение беременности – цена УЗИ на раннем сроке беременности во
Картинка 35: Есть ли у меня предрасположенность к тромбам? Мне 39 лет, была АГП на
Картинка 36: Развитие плода на 39 неделе беременности/Календарь беременности! - YouTube
Картинка 37: Недели беременности | Семья и ребенок
Картинка 38: 39 неделя беременности – Telegraph
Картинка 39: На 39 неделе беременности мама Валерия поступила в больницу, где врачи
Картинка 40: Слизистая пробка как выглядит на 39 неделе
Картинка 41: 39 неделя беременности и тянет низ живота: это схватки? | MedAboutMe
Картинка 42: Диета После Удаления Желчного Пузыря Питание — Похудение Диета
Картинка 43: Слизистая пробка как выглядит на 39 неделе
Картинка 44: Потеря Веса На 39 Неделе — Похудение Диета Правильное Питание
Картинка 45: Слизистые выделения на 39 неделе беременности: причины и что делать
Картинка 46: РОДЫ НА 39 НЕДЕЛЕ БЕРЕМЕННОСТИ | Можно ли рожать на 39 неделе
Картинка 47: ШЕВЕЛЕНИЯ НА 39 НЕДЕЛЕ БЕРЕМЕННОСТИ | Как проявляет активность ребёнок
Картинка 48: Потеря Веса На 39 Неделе — Похудение Диета Правильное Питание
Картинка 49: Потеря Веса На 39 Неделе — Похудение Диета Правильное Питание
Картинка 50: Потеря Веса На 39 Неделе — Похудение Диета Правильное Питание
Картинка 51: Потеря Веса На 39 Неделе — Похудение Диета Правильное Питание
Картинка 52: Потеря Веса На 39 Неделе — Похудение Диета Правильное Питание
Картинка 53: Потеря Веса На 39 Неделе — Похудение Диета Правильное Питание
Картинка 54: Потеря Веса На 39 Неделе — Похудение Диета Правильное Питание
Картинка 55: Потеря Веса На 39 Неделе — Похудение Диета Правильное Питание
Картинка 56: Потеря Веса На 39 Неделе — Похудение Диета Правильное Питание
Картинка 57: Потеря Веса На 39 Неделе — Похудение Диета Правильное Питание
Картинка 58: Потеря Веса На 39 Неделе — Похудение Диета Правильное Питание
Картинка 59: Потеря Веса На 39 Неделе — Похудение Диета Правильное Питание
Картинка 60: Потеря Веса На 39 Неделе — Похудение Диета Правильное Питание

Как похудеть на 15 кг за полгода

Как называется диета по часам

Как 100 убрать бока

Энергетическая диета энергетики

Как я похудела 42 кг

Авокадо кето диета

Отзывы кто быстро похудел

Похудела при беременности на 10 кг

Диета при домашних тренировках

Если мало спать то похудеешь

Как правильно похудеть на 5 кг за неделю в домашних

Диета диабет 1 тип

Как убрать живот бока и ушки быстро

Простые упражнения на пресс в домашних условиях для женщин убрать живот и бока

Как быстро убрать живот с обручем

Какими упражнениями можно убрать жир с живота и боков в домашних условиях

Диета и балет

Диета стол 5 меню детям

Наш желудок и как похудеть

Диета при подагре сахарный диабет