Диета n 4 в
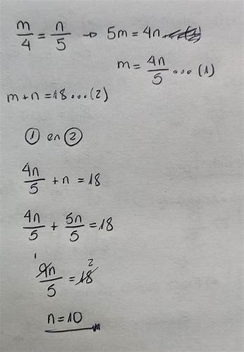
Картинка 2: m/4 = n/5, si: m+n=18. Hallar n. - Brainly.lat
Картинка 3: 104076-17-7_Benzenesulfonamide,4-amino-N-[5-(hydroxymethyl)-4-methyl-3
Картинка 4: Solved Let x(n)={2,4,−3,1,−5,4,7}. Please note that the | Chegg.com
Картинка 5: CAS No.23043-12-1 | chem960.com
Картинка 6: 10156-75-9_Benzenamine,N,N-dimethyl-2,6-dinitro-4-(trifluoromethyl)-CAS
Картинка 7: CAS No.7574-50-7 | chem960.com
Картинка 8: 76393-41-4,Urea, N-(2,4-dimethylphenyl)-N'-(4-methyl-3-nitrophenyl)-化学式
Картинка 9: 30566-19-9_Acetamide,N-[4-(2-oxo-2-phenylethyl)phenyl]-CAS号:30566-19-9
Картинка 10: Коллекторная группа FV-PLAST нерж.сталь 1х3/4 14 выходов, с расх
Картинка 11: Диета 4 а б в по певзнеру. Диета Стол №4
Картинка 12: Аромат Кайсия 4 в 1
Картинка 13: КЕТО-ДИЕТА купить в аптеке ЦЕНА в Нижнем Новгороде — 186 рублей
Картинка 14: Solved Determine whether the sequence conv an=e4n/(n+4)List | Chegg.com
Картинка 15: Многофункциональный мобильный агрегат 4 в 1 TSS WALGG 5.0/200E
Картинка 16: Столы лечебного питания Диета N 1 Назначают
Картинка 17: 81717-36-4_N-decyl-N'-[4-({[(2-hydroxyethyl)amino](oxo)acetyl}sulfamoyl
Картинка 18: CAS No.57165-12-5 | chem960.com
Картинка 19: Стол 108 Диета — Похудение Диета Правильное Питание
Картинка 20: [диета] белковая диета дюкана мнение специалистов
Картинка 21: Набор электроинструмента Макита 4в1 купить в Липецке | Товары для дома
Картинка 22: Как выглядит самолёт Т-4 «Сотка» внутри. Показываю уникальные
Картинка 23: 865075-00-9_CAS号:865075-00-9_β-Alanine, N-(3-ethoxy-3-oxopropyl)-N-(4
Картинка 24: Экстремальная диета | Apteka.ru | Дзен
Картинка 25: Умный Wi-Fi Автомат электрический 4 в 1 (Автомат, УЗО, Реле и Счетчик
Картинка 26: Диета Номер 4 Описание — Похудение Диета Правильное Питание
Картинка 27: Система Aristo «4 в 1» для межкомнатных дверей и перегородок | Интернет
Картинка 28: Смотреть "Диета №0. 1 серия" онлайн. Сериал - eTVnet
Картинка 29: Диета N 3 По Певзнеру – Telegraph
Картинка 30: Набор аккумуляторного инструмента Макита 4 В 1 | Festima.Ru
Картинка 31: Электровоз ЧС-4
Картинка 32: Диета N 1 Назначается – Telegraph
Картинка 33: Набор аккумуляторного инструмента 4 в 1 — купить в Красноярске
Картинка 34: системный блок пентиум 4 в формате горизонтальном десктоп
Картинка 35: METRO PROFESSIONAL Зонт 4 в 1, 4.02м купить с доставкой на дом, цены в
Картинка 36: KATO4番ポイントの脱線対策!Nゲージ小型レイアウト製作 N scale model railroad layout - YouTube
Картинка 37: Диета Номер 4 В – Telegraph
Картинка 38: Save
Картинка 39: Коляска -автокресло 4 в 1 | Festima.Ru - Мониторинг объявлений
Картинка 40: Диета Перфетта Витус Энергия таблетки шипучие N 20 купить, описание и
Картинка 41: диета - YouTube
Картинка 42: Когда диета - YouTube
Картинка 43: Диета | PDF
Картинка 44: Диета (Remix) - YouTube
Картинка 45: Атомная Диета Описание – Telegraph
Картинка 46: 사회초년생이 ‘아반떼N 4만㎞’ 타며 느낀 장단점[실오너 후기] - YouTube
Картинка 47: Pin by Elena Korotkih on Диета N 9
Картинка 48: Диета Номер 4 В – Telegraph
Картинка 49: Диета 5а Стол Рецепты Приготовление В Пароварке — Похудение Диета
Картинка 50: Диета 1ч - YouTube
Картинка 51: Кето диета. Меню за седмицата - ALBUM.BG
Картинка 52: диета - YouTube
Картинка 53: Диета n 10 характеризуется
Картинка 54: [диета] питьевая диета отзывы в контакте.
Картинка 55: Диета - YouTube
Картинка 56: диета номер 9 - YouTube
Картинка 57: Диета - YouTube

Диета при диарея вирусная

Как за месяц похудеть в ляшках и животе

Убрать бока за 3

Как есть сладкое после диеты

Диета похудеть на 10 кг быстро

Какой покупать сыр на диете

Убрала фартук на животе фото

Как за неделю похудеть на десять кг

Метью макконахи похудел для роли в фильме

Какие фрукты употреблять при диете

Как быстро похудеть в 60

Убрать складку на животе после кесарева сечения

Диета на рисе на воде

Как реально похудеть быстро

Диета для спортсменов сушка

Диеты виктория сикрет

Жир с живота убрать быстро

Кето диета не помогает

Как похудеть после родов и убрать живот

Как на гв можно похудеть